精确检索
开始检索
过期或下架内容请联系客服(电话或微信):18300267060

南宁市自然资源局关于划拨土地上的住房补缴土地出让价款计算方式的通知

南宁市自然资源局关于划拨土地上的住房补缴土地出让价款计算方式的通知
南自然资规〔2023〕5号

局属各科室、各分局,各直属事业单位:

为简政便民,规范我市划拨土地上的住房补缴土地出让价款计算方式,根据《中华人民共和国土地管理法》《财政部 国土资源部 建设部关于印发<已购公有住房和经济适用住房上市出售土地出让金和收益分配管理的若干规定>的通知》(财综字〔1999〕113号)、《国土资源部关于已购公有住房和经济适用住房上市出售中有关土地问题的通知》(国土资用发〔1999〕31号)、《南宁市人民政府关于修改< 南宁市已购公有住房上市出售管理办法>的决定》(南宁市人民政府令第6号)、《南宁市人民政府关于修改<南宁市经济适用住房管理办法>的决定》(南宁市人民政府令第16号)等有关规定,结合我市实际,现将有关事项通知如下:

一、适用范围

本通知适用于我市市区(武鸣区除外)范围内划拨土地上除自建房外的住房补缴土地出让价款的情形。

二、划拨土地上各类住房补交土地出让价款计算公式

(一)已购公有住房、集资房补缴土地出让价款=网格点楼面基准地价×房屋建筑面积×容积率修正系数×年期修正系数×期日修正系数×10%。

(二)依法取得划拨土地上的商品房补缴土地出让价款=网格点楼面基准地价×房屋建筑面积×容积率修正系数×年期修正系数×期日修正系数×10%。

(三)划拨土地上的拆迁安置房补缴土地出让价款=网格点楼面基准地价×房屋建筑面积×容积率修正系数×年期修正系数×期日修正系数×70%。

(四)经济适用房按南宁市经济适用住房管理办法有关规定执行。

(五)除上述(一)、(二)、(三)、(四)款及自建房外,原划拨土地上的住房补缴土地出让价款=网格点楼面基准地价×房屋建筑面积×容积率修正系数×年期修正系数×期日修正系数×60%。

三、公式使用说明

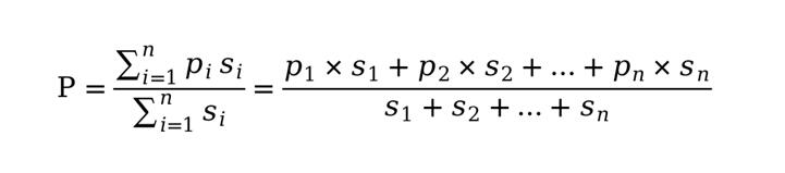
(一)网格点楼面基准地价是指房屋所在宗地的楼面价,根据南宁市人民政府公布实施的住宅用地网格点楼面基准地价图确定;上市房屋不在住宅用地网格点楼面基准地价覆盖范围内的,按住宅用地网格点楼面基准地价的最低值取值。

当宗地涉及跨多个格网点的,以宗地面积加权计算的方式确定取价单位的网格点楼面基准地价。即:

(二)房屋建筑面积以房屋所有权证或不动产权证书登记的房屋建筑面积确定。

(三)容积率修正系数依据南宁市人民政府公布实施的基准地价成果中住宅用地容积率修正系数表确定。

(四)年期修正系数依据南宁市人民政府公布实施的基准地价成果中住宅用地土地使用年期修正系数表进行计算。

(五)期日修正系数依据每个季度公布的南宁市地价动态监测成果进行核算。

四、本通知自2023年8月28日起施行,有效期五年。


南宁市自然资源局

2023年7月28日

来源:南宁市自然资源局官网 日期:2023-07-28 有效范围: 广西 南宁市
关系图谱(0)
单击节点 显示明细及下级图谱